Economia
La ecuación explosiva de Trump que sacude al planeta

A pesar de esto, la administración estadounidense intenta justificar sus represalias basándose en cálculos numéricos.
Mediante unas gráficas presentadas en la Casa Blanca, Trump intentó ilustrar cómo su gestión aplicará impuestos a sus colaboradores que incluyen desde grandes naciones como China y Europa hasta los países más diminutos.
No obstante, los números tienen escasa relación con las tasas arancelarias efectivas.
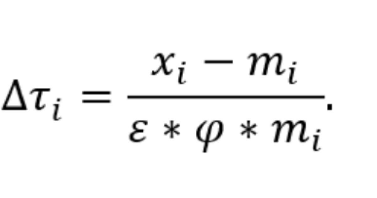
¿Qué ecuación matemática se utiliza para los aranceles?
El Departamento de Comercio de EE. UU. divulgó una ecuación con símbolos griegos para otorgar cierta autoridad académica a los cálculos, una ecuación que, en efecto, no contemplaba las tasas arancelarias como un factor.
Dicha ecuación considera el déficit comercial de una nación con Estados Unidos como indicador de inequidad.
¿Cómo opera?
Para determinar el nivel arancelario que corresponde a cada nación, se lleva a cabo el siguiente procedimiento:
En el numerador (parte superior de la fracción) se restarán las exportaciones de EE. UU. con las importaciones del país asociado.
Ese resultado se dividirá entre el producto de E y P (que tienen valores de 4 y 0.25, respectivamente), por las importaciones.
El total de esa división se dividirá nuevamente por 2. Este último valor fue seleccionado al azar por Trump para enfatizar su “benevolencia”.
Y el resultado final será la tasa arancelaria que se asignará a cada país.
Ejemplo
Considerando los datos de la balanza comercial de EE. UU. con China al cierre del 2024:
X= 145,545
M= 438,947

Trump aplicó impuestos del 34% a China, nación que ya presentó una queja ante la Organización Mundial del Comercio (OMC) en respuesta a esta acción.
Con información de agencias







